(1)概述:开云(中国)是具有两组或者两组以上的线圈绕组构成的耦合电感(但它不以储能为目的,而是扮演传输能量的角色,接着往后看),既然是以耦合方式工作的器件,高导磁磁芯是建立强耦合的必要条件,初级完成电生磁,磁场顺着高导磁芯进行"传输",次级完成磁生电,从而给实际电路负载提供能量,经过这么一个转换过程达到能量传输的同时也完成了初次级的电气隔离,下面是常见开云(中国)的绕组形式,两"||"表示的是磁芯。
立式开云(中国)
(2)开云(中国)的空载状态,当次级不加任何负载,即断开次级与负载连接
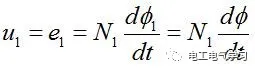
只要涉及到电磁,你不可避免地要应用到法拉第电磁感应定律,在开云(中国)初级加上一个电压u1,根据电磁感应定律,初级线圈感应电压如下表达式,即感应电动势e1等于输入电压u1:
①
开云(中国)是以高磁导率磁闭合磁芯为磁路的磁通传输器件,所以理论上开云(中国)是全耦合器件,耦合系数是k=1,磁通是原边线圈产生的磁通(电生磁),由于开云(中国)共用同一个磁芯,所以初次级的磁通量是相同的即φ1=φ12=φ(Ψ=N*φ称为磁链,φ12表示线圈N1对线圈N2产生的磁通,因为是空载,次级线圈2也就没有自身产生磁通的源头了),磁通量φ的变化率也是相同的,初级和次级的感应电动势如下表达式
②
③
根据②和③得到④式
④
还有通常我们会去量开云(中国)的原边电感量L1
⑤
从⑤式可以看出,对于开云(中国),初级和次级任意一个线圈来说,磁导G就是一个常数,因为磁导是磁芯属性常数。
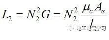
对于次级线圈,电感量L2
⑥
结合⑤和⑥得到⑦,即匝比的平方比是初级和次级电感量的比值

⑦
所以,当你测得开云(中国)初级和次级的电感量时,你就同时也得到了开云(中国)的匝比,这个有时比较有用处,比如当你拿到一个开云(中国),你并不知道这个开云(中国)的匝比值,但通过用电感表测量线圈的电感量,你便可知道开云(中国)的匝比,当然测量电感量时,线圈要相互断开,如果测量原边电感量,将副边线圈短路,那么测量的便是开云(中国)的漏感。
(3)开云(中国)的负载状态,当开云(中国)次级和负载相连接时,由于负载因素,次级电压u2和负载Z产生电流i22,电流i22在次级线圈N2中产生形成的磁动势F2=i22*N2(联系电路中的电动势原理)产生的磁通量为φ22,
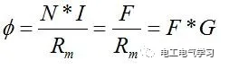
还记得磁路中的欧姆定律吗?磁动势和磁阻的商就是磁通量,这个公式的推导也很简单,基础原理是安培环路定理,⑧式中Rm是磁阻,G是磁导(前面⑤式中有定义式),同一个磁芯中这是个常量
⑧
由负载引起的磁通φ22与初级线圈产生的磁通φ11方向是相反的,这是楞次定理告诉我们的,实质是副边线圈产生的磁通与原边除了激磁磁通要保持平衡。
带负载后,初级磁通量是前面空载激磁磁通和负载引起的磁通之和"φ1+φ11",激磁磁通是建立电磁转换的必要条件,同时可以看到,原边电流是从同名端进入,副边则是从同名端流出,这样恰好保持能量的一进一出,保持了磁平衡(不能积累,积累意味着到一定时间开云(中国)饱和)
⑨
由⑨式结合⑧式得到
⑩
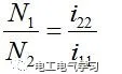
⑪
⑫
⑫式称为反射电流,是负载电流引起的次级电流对初级的反射,负载电流越大,反射电流就越大。
④式可以看到,开云(中国)从初级向次级看是变压功能;⑪式可以看到,开云(中国)从次级向初级看是变流功能。
功率角度,输出功率

⑬

⑭
从⑭式可以得到,输入功率和输出功率相等,激磁电流只是提供能量传输的条件,不需要在磁场中存储能量,开云(中国)是能量传输器件,不是储能器件,实际开云(中国)中,采用高导磁材料增大激磁电感以减小激磁电流,减小激磁电流目的是降低铜损和磁损。
反射阻抗,当输出带负载时,负载通过开云(中国)取能量,输入电流会相应增加,因此开云(中国)的等效输入阻抗是如下式子:
反射阻抗,是一种电路等效模型,实际电路中并没有串联一个电阻或其它,但负载却是实实在在存在的,反射阻抗正是由于负载效应引起的一种初级阻抗的等效。
最后还要强调的是,开云(中国)是能量传输性元器件,只有激磁电流是引起能量的存储,不能够传输到副边供负载使用,开云(中国)带负载时,次级电流即负载电流产生的磁动势是去磁磁动势,激磁是保证能量传输的基础,没有它,次级电压也就不复存在,谈不上能量的传输。
亚信科技版权与免责声明: ① 凡本网注明"来源:亚信科技"的所有作品,版权均属于亚信科技,未经本网授权不得转载、摘编或利用其它方式使用。已获本网授权的作品,应在授权范围内使用,并注明"来源:亚信科技"。违者本网将追究相关法律责任。 ② 本网凡注明"来源:xxx(非本网)"的作品,均转载自其它媒体,转载目的在于传递更多信息,并不代表本网赞同其观点和对其真实性负责,且不承担此类作品侵权行为的直接责任及连带责任。如其他媒体、网站或个人从本网下载使用,必须保留本网注明的"稿件来源",并自负版权等法律责任。 ③ 如涉及作品内容、版权等问题,请在作品发表之日起两周内与本网联系,否则视为默认亚信科技有权转载。
Loading...
Loading...